
Hohe Gewerbesteuer im Märkischen Kreis
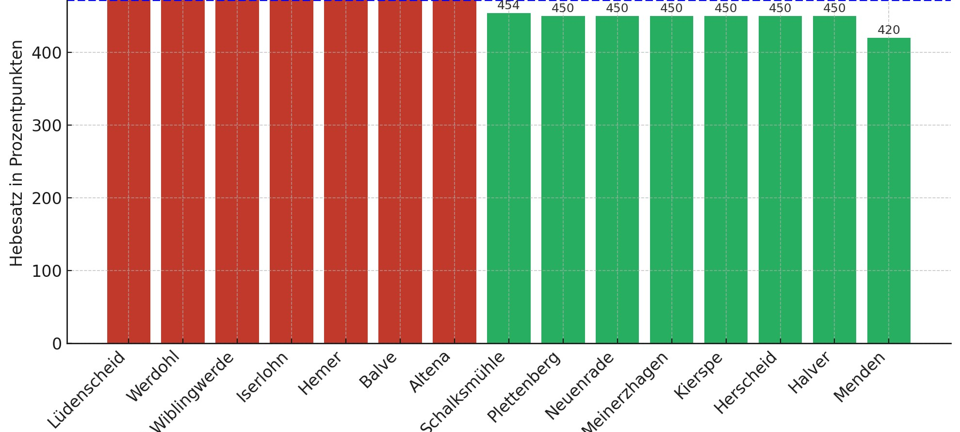
Im Märkischen Kreis liegen rund die Hälfte der Kommunen bei der Gewerbesteuer über dem NRW-Durchschnitt von 472 Punkten. Besonders hoch ist der Hebesatz in Lüdenscheid (mit 499 Punkten), gefolgt von Werdohl (mit 485) Altena, Balve, Hemer, Iserlohn und Nachrodt-Wiblingwerde mit jeweils 480 Punkten. Am wenigsten Steuer, mit 420 Punkten, müssen Gewerbetreibende in Menden zahlen. Halver, Herscheid, Kierspe, Meinerzhagen, Neuenrade und Plettenberg liegen mit jeweils 450 Punkten unter dem Durchschnitt.
Weitere Erhöhungen möglich
Laut der Südwestfälischen Industrie und Handelskammer drohen wegen sinkender Gewerbesteuer-Erträge der Städte auch weitere Erhöhungen. Auch die Stadt Iserlohn ist mit einem Defizit ins Jahr 2025 gestartet und plant deshalb eine Erhöhung der Gewerbesteuer ab 2026. Die Kammer warnt: Das könnte heimische Unternehmen im Wettbewerb zusätzlich belasten.